TEER 수술 이후 심장의 크기 및 역류량 변화 연구결과 주목
고려동물메디컬센터(대표원장 이승근, 이하 KAMC) 심장혈관센터 소속 수의사들이 수의내과학 최고 권위를 갖는 미국수의내과학저널(Journal of Veterinary Internal Medicine)에 '개 이첨판 폐쇄부전증에 적용하는 최소침습수술(Transcatheter edge-to edge repair, 이하 TEER)' 논문이 등재됐다.
이번 논문은 KAMC 심장혈관센터의 이정민, 엽경아 수의사가 공동 1저자로, 이선태, 이아라, 정윤서 수의사가 공동 연구자로 참여했다.
개 이첨판 폐쇄부전증은 후천적인 퇴행성 심장질환으로 심장의 구조 변화를 유발하고, 궁극적으로 심부전으로 진행하는 질환이며, 전체 개 심장병의 70% 이상을 차지한다. 과거에는 주로 약물 치료로 관리해 왔으나 최근에는 개심술과 TEER 등 수술적 접근이 활발히 시도되고 있다. 많은 환자들에게 임상적 이점을 보이고 있음에도 불구하고 수의학에서 TEER 수술에 대한 객관적인 연구 결과는 제한적이었다.
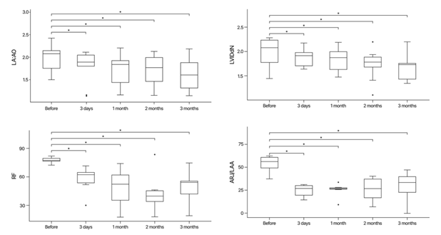
이번에 발표된 연구에는 KAMC에서 TEER 수술을 받은 8살에서 14살의 체중 2.05kg부터 7.8kg까지의 이첨판 페쇄부전증(MMVD) B2, C, D단계의 개들이 포함됐다. 논문에는 TEER 수술을 받은 개에서 수술 전과 3개월에 걸쳐 나타나는 이첨판 역류량(Regurgitatn volume), 심장 크기, 처방 약물 등의 변화, 합병증을 자세히 설명하고 있다.
연구 결과에 따르면, 실제로 TEER 수술 이후 3개월 차에 이첨판 역류량이 3.96ml/kg에서 1.25ml/kg까지 감소하는 모습을 보였으며, 좌심방 대동맥 비율(LA/AO), 체표면적 보정 좌심실 이완기 내경(LVIDDn) 등 좌심의 용적 과부하를 의미하는 지표들의 유의미한 개선이 확인됐다.
인의에서 TEER(마이트라클립 시술)은 80세 이상의 고령, 심각한 수준의 병발질환 등으로 인해 개심수술 고위험군이라고 판단되는 환자에게 추천된다. 발표된 논문에서도 90% 이상의 환자가 만성 신부전, 부신피질기능항진증(쿠싱 증후군), 만성 상부 호흡기 폐쇄질환, 만성 장병증, 만성 췌장염 등의 병발질환을 갖고 있었으며, 한 마리가 3~4개의 병발질환을 앓고 있는 경우도 많았다. 이를 바탕으로 다양한 병발질환이 있는 이첨판 폐쇄부전증 개에서 TEER 수술법이 활용될 수 있음을 시사했다.
수술을 담당한 엽경아 수의사는 “동물병원에 내원하는 심장병 환자들이 오직 심장병만 앓고 있는 경우는 거의 없다”면서 “우리는 병발질환이 있는 심장병 환자를 살리고, 지금보다 더 나은 삶의 질로 더 오래 가족들과 함께 지낼 수 있도록 하기 위해서 무엇이 가장 환자에게 유리할지 고민하게 된다. 그 고민은 최대한 많은 증거를 통해 여러 분야의 수의사가 함께 고민해야 가장 좋은 선택을 할 수 있다. TEER도 그 중 하나이며, 실제로 벼랑 끝에서 찾아온 환자를 여러 분야의 수의사가 같은 마음으로 애써서 살려내고 나면 정말 행복하다”고 말했다.
KAMC에서는 시간 상관없이 환자의 전원을 수용하고, 상황에 따라 투석과 초여과 등의 응급처치를 통해 환자를 살리고, 가능하면 TEER 수술을 진행해 좋은 예후를 보이는 경우가 늘고 있다. 또한 다량의 이뇨제를 사용하면서 신부전이 온 환자에서 TEER 수술 후 환자 신장 손상 관련 수치들의 개선이 관찰되는 경우가 매우 많다.
KAMC 측은 “국내에서 고령의 병발질환이 있는 소형견들에 대한 TEER 수술은 미국이나 유럽의 환자들과는 risk factor 정도가 다르기 때문에 심장혈관센터 소속 의료진들이 겪은 학습곡선 내용을 반드시 보고하고 싶었다”고 전했다.
이번 논문은 수술 대상 환자군 선정과 수술의 술기, 그리고 합병증과 학습곡선이 담긴 JVM 최초의 TEER 연구이며, 무엇보다도 학습곡선의 극복에 따라 그 성공률은 초기 10마리(50%)와 후기 10마리(80%)에는 큰 차이가 있고, 현재는 수술 이후 퇴원까지 수술 안정성은 100%, 30일간의 생존율은 90% 이상으로 점점 높아지고 있다.
이정민 수의사는 “이첨판 폐쇄부전증의 관리에서 환자에게 약물적 관리가 더 적절한지, 또는 수술적 치료를 고려해야 하는지를 정확히 평가하는 것이 중요하다”고 강조하면서 “이러한 요소들을 판단하기 위해 경식도 초음파를 통한 3D 심장 재구성이 큰 도움이 된다”고 밝혔다.
경식도 초음파를 활용해 정밀한 심장 구조 및 역류량을 평가할 경우 이첨판 폐쇄부전증 환자에게 보다 명확하고 적극적인 맞춤형 처방이 가능하다. 또한 TEER 수술에 있어 내과, 외과, 영상의학과, 마취과, 중환자응급의학과 간의 긴밀한 협진 역시 치료 결과에 중대한 영향을 미친다.
KAMC는 2023년부터 TEER(V Clamp) 수술을 시행해 왔으며, 현재까지 유럽 및 아시아 지역에서 최소침습 방식의 TEER 수술을 가장 활발히 시행하는 센터로 자리매김하고 있다. 국내는 물론 미국, 중국, 스위스, 프랑스 등 다양한 국가의 환자들이 수술을 위해 내원하거나 상담을 의뢰하고 있다.
더불어 TEER 관련 교육을 제공하는 국제 교육기관으로써의 역할도 수행하고 있다. 실제로 여러 해외 수의사들이 수술을 견학하고자 병원을 방문하고 있으며, 환자에 대한 자문 요청도 지속적으로 증가하고 있다.
KAMC는 “점점 더 많은 환자에게 실질적인 도움을 줄 수 있는 글로벌 심장 전문 센터로 성장해 나갈 계획”이라고 밝혔다.

